Today, we are going to go through the steps of performing the Wald-Wolfowitz test (run test). Remember, the easiest way to understand hypothesis testing is to solve an example. So instead of boring you with explanations, we would solve an example together. I would be explaining as we solve.
Content
- Step 1: State the null and alternate hypothesis
- Step 2: Merge and sort the values in order
- Step 3: Calculate the Mean
- Step 4: Calculate the Variance
- Step 5: Calculate Z statistic
- Step 6: Draw your conclusion
1. What is Wald-Wolfowitz Test?
Wald-Wolfowitz Test (also called Wald-Wolfowitz run test) is a non-parametric hypothesis test used to test the randomness of a two-valued data sequence. It tests to see if the sequence are mutually independent.
2. Formula for Wald-Wolfowitz Test
The three formulas for the Wald-Wolfowitz run test are given below:
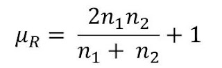
where the mean is given by the formula
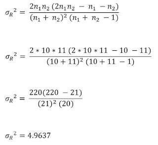
and the variance is given by the formula
Note: Variance is the square of the standard deviation. So we calculated variance. To get the standard deviation, we must take the square root of the variance.
Let’s now solve an example!
3. Example 1
There are two IVM(Innoson Vehicle Manufacturers) buses, one with 48 passengers, and another with 38 passengers.
Let X and Y denote the number of miles travelled per day for the 48-passenger and 38-passenger buses respectively. Innoson would like to test the equality of the two distributions.
That is, if:
H0: F(z) = G(z)
The company observed the following data on a random sample of n1 = 10 buses carrying 48 passengers and n2 = 11 buses carying 38 passengers.
X: 104 253 300 308 315 323 331 396 414 452
Y: 184 196 197 248 260 279 355 386 393 432 450
Using normal approximation to R, conduct a Wald-Wolfowitz test at 0.05 level of significance
4. Solution
We would solve this problem step by step.
Step 1: State the null and the alternate hypothesis and rejection criteria
H0: F(z) = G(z)
H1: F(z) = G(z)
Rejection criteria: Reject the null hypothesis if
Step 2: Merge the two lists and sort in ascending order
104 184 196 197 248 253 260 279 300 308 315 331 355 386 393 394 414 432 450 452
Step 3: Count the number of runs: R, n1 and n2
Number of runs R = 9
n1 = 10
n2 = 11
Step 4: Calculate the mean
We calculate the mean using the formula and we have the results below
Step 5: Calculate the variance
We calculation the variance using the calculation steps below
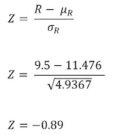
Step 6: Calculate Z
We calculate the value of Z following the formula below:
Note: Used 9.5 instead of 9 because we applied half-unit correction for continuity
Step 7: Draw your conclusion
We fail to reject the null hypothesis at the 0.05 level because the P value is greater than 0.05. This means that there is not sufficient evidence at 0.05 level to conclude that the two distribution functions are not equal.
Thanks for your effort in learning statistics. If you have any challenge, let me know in the comment box below.








yeah, do not bother me with the explanation of what a run is, let’s just jump to the example so that I have no idea wtf you are counting
Where to get p-values? My Z Score was -2.3. I adopted a significance level of 0.05. What should I do next with this result to determine whether to reject H0 or not?