The Welch’s t-test is also called unequal variances t-test that is used to test if the means of two populations are equal. This test is different from the Student’s t-test and is normally applied when the there is difference in variance between the two population variances. It can also be applied when the sample sizes are unequal.
Learn about paird-samples t-test here
When to use Welch’s t-test
The Welch’s t-test can be applied in the following scenario
- When the distribution is assumed to be normal
- When the samples have unequal variances
- Sample sizes are unequal
Procedure in Performing Welch’s t-test
Step 1: State your null and alternate hypothesis
H0: μ1 = μ2
Ha: μ2 ≠ μ1
Here the null hypothesis states that the means of the two populations are the same
The alternate hypothesis states that the means of the two populations are not the same
So a test is needed to decided this!
Step 2: Calculate the means of the two samples
Take the sum of of each sample and divide by the total number of items
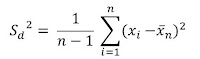
Step 3: Calculate the standard deviation of the two samples
Standard deviation can be found using the formular
Don’t worry about this formular, it would become clearer when we take an example.
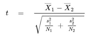
Step 4: Calculate the t-value using the formula
where
is the mean of the first sample
- s1 is the standard deviation of the first sample
- N2 is the first sample size
- the same is calculated for the second sample
Step 5: Calculate the degrees of freedom
The degrees of freedom given by v is calulated using the formular belows:
where v1 is the degrees of freedom from the first sample and is given by the formula
v1 = N1 – 1
and v2 is the degrees of freedom from the second sample and is given by the formula
and v2 = N2 – 1
Step 6: Compare the calculated t with the tabulated t
Normally, the calulcated value of t (called the test statistic) would either be greater thanor less than the tabulated value of t(called the critical value)
Step 7: Draw your conclusion
The conclution would be wether the null hypothesis is accepted or rejected based on the problem being solved.
If the value of the test statistic is greater than the critical value, then we reject the null hypothesis. Otherwise the null hypothesis is accepted if the test statistic is less than(or within) the critical value.
Try a sample exercise solved here
Watch the Video Lessons on Youtube


Hi. I have checked your kindsonthegenius.com and i see you’ve got some duplicate content so probably
it is the reason that you don’t rank hi in google.
But you can fix this issue fast. There is a tool that creates articles like
human, just search in google: miftolo’s tools
[…] The outcome confirms that the variances differ significantly, so we go ahead to perform Welch’s t-test. How to perform Welch’s t-Test […]
excellent