We want to compare the heights in inches of two groups of individuals. Here are the measurements:
X: 175, 168, 168, 190, 156, 181, 182, 175, 174, 179
Y: 120, 180, 125, 188, 130, 190, 110, 185, 112, 188
Solution Steps
The first thing to do is to understand the problem and decide which type of hypothesis test to use.
What are the possible test that could be used?
The possible tests are:
independent sample t-test (note that we can’t use paired-sample t-test as the question mentions two groups)
Welch’s t-test (used when the variances differ)
Important: If you look at the data carefully, you will find out that there is significant variance between the two groups. But we can test this formally by doing a F-test.
The outcome confirms that the variances differ significantly, so we go ahead to perform Welch’s t-test. How to perform Welch’s t-Test
Step 1: State the null and alternate hypothesis
The null hypothesis states that the means of the two populations are the same while the alternate hypothesis states that the means are not the same.
H0: μ1 = μ2
Ha: μ2 ≠ μ1
Step 2: Calculate the means of the two samples
The means are:
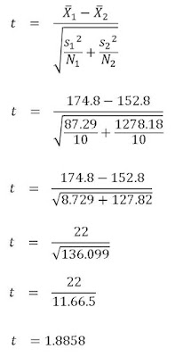
mean X1 (X) = 174.8
mena X2 (Y) = 152.8
Step 3: Calculate the Standard deviation of the two samples
s1 = 87.29
s2 = 1278.18
Step 4: Calculate the value of t as shown below
Step 5: Calculate the degrees of freedom
This is done using the formula:
where:
s = standard deviation
d = degree of freedom
N = number of observation
the subscript refers to the different groups
(Don’t worry, I will show you how to do this in excel easily, but do try it)
Substituting the values of the variables, we would arrive at
d = 10.224
Step 6: Compare calculated t(test statistic) with tabulated t(critical value). If we do this we see critical value if 1.812.
The test statistic is greater than the critical value.
Step 7: State the decision
We reject the null hypothesis and conclude that there is significant difference between the means of the two populations

