An automatic cutter machine must cut steel strips of 1200 mm lenght. From a preliminary data, we checked that the lenghts of the pieces produced by the machine can be considered as normal random variables with a 3mm standard deviation. We want to make sure that the machine is set currectly. Therefore 16 pieces of the products are randomly selected and weight. The figures were in mm:
1193,1196,1198,1195,1198,1199,1204,1193,1203,1201,1196,1200,1191,1196,1198,1191
Examine wether there is any significant deviation from the required size
Solution Steps
As usual, try to understand the question so we can choose a test to use. From the question:
- the standard deviation of the sample is given
- the population is said to be normally distributed
So we can safely use one-sample t-test
Let’s follow the six easy steps of performing z-test.
Note: Some texts refer to this test as u-test
Step 1: State the null and the alternate hypothesis
H0: μ0 = μ1
Ha: μ0 ≠ μ1
Step 2: Calculate the mean of the sample
Mean = 1197
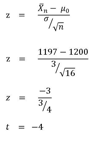
Step 3: Calculate the test statistic
This is gotten using the formula and the steps
Step 4: Look up value of z from the statistical table and compare with the calculated value
From the table of z statistic we look up the critical value of z for 15 degrees of freedom and 0.05 significance
Statistical table here
This give us 0.0975
Step 5: Draw a conclution
Since the calculated value of z is greater than the critical value, we reject the null hypothesis

[…] Question 8 An automatic cutter machine must cut steel strips of 1200 mm lenght. From a preliminary data, we checked that the lenghts of the pieces produced by the machine can be considered as normal random variables with a 3mm standard deviation. We want to make sure that the machine is set currectly. Therefore 16 pieces of the products are randomly selected and weight. The figures were in mm:1193,1196,1198,1195,1198,1199,1204,1193,1203,1201,1196,1200,1191,1196,1198,1191Examine wether there is any significant deviation from the required sizeSolution to Question 8 […]