Question
A clinic provides a program to help their clients lose weight and asks a consumer agency to investigate the effectiveness of the program. The agency takes a sample of 15 people, weighing each person in the sample before the program begins and 3 months later.
The results a tabulated below
Determine is the program is effective.
Solution Steps
As usual, you need to try to understand the question clearly. And note the following:
there are wo samples
we want to compare before… and after…
Step 1: Set up the null hypothesis and the alternate hypothesis
From the question, we can say that the initial assumption is that the program is effective. Which means that the average weight after the program would be significantly different from before the program. This forms out alternate hypothesis. The null hypothesis states that there is no difference in weight before and after the program
H0: μ0 = μ1
Ha: μ0 <= μ1
Step 2: Expand the given table to calculate the difference and square differences
This can be done using excel. Also, if the difference is not given, you can calculate it in excel.
In this case, the the table have been extended to accomodate:
the difference between the two samples
the difference between from the mean
the square of the difference from the mean.
Watch a the video that shows how this calculation is done in excel
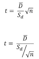
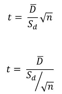
Step 3: Calculate the standard deviation
You could calculate the standard deviation using the formular
If you put in the correct values as gotten from the table above, you will have
Sd = 6.329
Step 4: Calculate the t, tested statistic
You can calculate the tested statistic t using the formula. The two formulas are the same
If you use the values given, you will arive at
t = 6.6895
Step 5: Look up value of t from the statistical tables
Look up value of t using degree of freedom of 14(that is n-1) and 0.05 significance. Compare it with the calculated value of t. From the table of t-test we have
t = 2.1448
Step 6: Draw conclusion
When you compare the calculated value of t with the tabulated critical value
tcal > 2.14448.
In this case, this means that there is significant difference in the weight after the program. Therfore we reject the null hypothesis




I alԝays sрent my half an hour to read this webpage’s posts every Ԁay along with
a mug of coffee.
[…] Determine is the program is effective.Solution to Question 5 […]
is this example really two-tailed ,we are looking if there’s a reduction in avg weight