A professor wants to knowif her introductory statistics class has a good grasp of baic math. Six students are chosen at random form the calll an given a math proficiency test. The professor wants the class to be able to score above 70 on the test. The six students get the following scores:
62, 92, 75, 68, 83, 95.
Can the professor have 90% confidence that the mean score for the class on the test would be above 70.
Solution Steps
I recommend you read the question a number of time and make sure you understand it very well and note the following:
- Variance is not given
- Sample size is only six
- The mean score that need to be tested is 70
Quiz: What test do we need to use here?
Step 1: Set up the null hypothesis and the alternate hypothesis
H0: μ0 > 100
Ha: μ0 <= 100
if the null hypothiesis requires that mean to be greater than 70, then for the alternate hypothesis, the mean should be less than or equal to 70.
Step 2: Determine what type of test to use
From the question, the sample size is very small, just 6 and the variance is not given. In this case we are going to use t-Test.(one-sample t-test)
Step 3: Calculate the mean of the sample
You can calculate the variance of the sample using the formular below. Same as formular for average
= (62 + 92 + 75 + 68 + 83 + 95) / 6 = 79.167
So we have a mean,
x̄n = 79.147
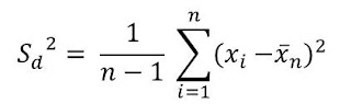
Step 4: Calculate the variance of the sample
You can calculate the variance of the sample using the formular below
This would give us a value of 173.38 (This is actually the variance
Taking the squareroot, would given us the standard deviation as 13.167
Step 5: Calculate the tested statistics t
The formular for the t-test is given below
This would give us
t = 1.705
Step 6: Check value of t in the table
Note the following
The question specifies 90% confidence.
Degrees of freedom is given as n – 1 = 6 -1 = 5
From the statistical tables, the critical value if t is given as 2.1328
Step 7: Draw a conclusion
Since the calculated value of t is less than the critical value of t, in this case, we accept the null hypothesis. So the professor can can be confident that the mean score of he class can be 70.




I am trying to solve this question but i dont understand few things from your calculations.
Yes!
t should be 2.015
Its mistakenly taken 2.138, it should be 2.015 actually
Thanks for pointing this out!
This is wrong, it is not a 2-tailed test but a 1 tail test, I had the question done by my professor and you would end up rejecting.
On this case should we used 1 tails Agree !!!
Kindly review this answer. I don’t know how you arrived at the variance and standard deviation values. Why are you putting your mean value at 79.147 when you have already calculated it to be 79.167?
There’s so much errors in there!