Question
A sample of 20 students were selected and given a diagnostic module prior to studying for a test. And then they were given the test again after completing the module.
The result of the students scores in the test before and after the test is tabulated below.
We want to see if there is significant improvement in the student’s performance due to this teaching method
Solution Steps
As we always say, you need to clearly understand the question. In this very case, we want to compare two means, therefore we use the paired-sample t-test.
Step 1: Set up the null and the alternate hypothesis
From the question
Step 2: Extend the table to include the mean difference
Watch a video to see how to do this using Excel
The table gives us the mean difference between each pair of observation and also the sum of the deviation from the mean.
mean difference = -2.05 ( it could also be positive)
Step 3: Calculate the Standard Deviation
You could calculate the Standard deviation using the formular
The gives us a standard deviation, Sd
= 2.837
Step 4: Calculate the Standard Error, SE(d)
You could calculate the Standard Error using the formular below
Substituting the real values into this equation, we would have a value of 0.634
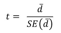
Step 5: Calculate the t values
Calculate the t statistic using the formular
This would give us a value of 3.231
Step 6: Look up the t-value from Statistical table
From th statistical table, we get the value of t as 0.004
Step 7: Compare the calculated t and tabulated t and draw conclusion
Calculated value of t is much larger than this value. We can see that there is significant difference in the means. Therefore we conclude that that there is much improvements in the test scores after the exams.




