Question 21
The following arrangement of men, M, and women, W, lined up to purchase tickets for a rock concert:
Test for randomness at the α = 0.05 significance level
Solution Steps
In this case, we see that the sample size is fairly large, so we are going to use a slightly different method in this case. We are going to calculate the mean runs and the standard deviation.
Then we go ahead to find the z-statistic. We would use the following 7 steps to disolve this problem.
Step 1: State the null and alternate hypothesis
Step 2: Determine the number of runs
Step 3: Calculate the mean runs
Step 4: Calculate the Standard deviation
Step 5: Calculate the z-Statistic
Step 6: Determine the Critical value
Step 7: Draw a conclusion
Step 1: State the null and alternate hypothesis
H0: Arrangement is random
H1: Arrangment is not random
Step 2: Determine the Number of Runs
This means that you need to mark each of the categories so you can easily count them
Here I mark each run alternatively with red for M and black wor W. The outcome is given below.
The number of runs is given by R = 27
The number of Men, n1 = 30
The number of Women, n2 = 18
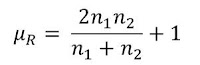
Step 3: Calculate the Mean runs
The mean is given by the formula
We can go ahead to substitute the value of n1 = 30 and n2 = 18
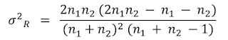
Step 4: Calculate the Standard Deviation
You can find the standard deviation for a runs test using the formula
We can go ahead to substitute the value of n1 = 30 and n2 = 18
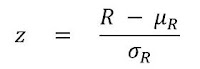
Step 5: Calculate the z-Statistic
The z-Statistic can be calculated using the formula
Then we can substitute the value of
R = 27
μR = 23.5
σR = 3.2083
Step 6: Determine the Critical Value
Look up the value of the critical value from statistical table of normal distribution
We get a critical value for of 1.96
Step 7: State the Decision
Since the calculated value of z = 1.0909 is within the accept region(less than the critical value of 1.96), we therefore accept (fail to reject) the null hypothesis and conclude that there is not real evidence that the arrangement is not random
Leave a comment if you have any observation or difficulty following this lesson
Thank you for solving.





