In the population, the average IQ is 100 with a standard deviation of 15. A team of scientists want to test a new medication to see if it has either a positive or negative effect on intelligence, or not effect at all. A sample of 30 participants who have taken the medication has a mean of 140. Did the medication affect intelligence?
Solution Steps
Follow these simple steps in solving this question. Leave a question at the left of this page if you hava any.
Step 1: Set up the null and alternate hypothesis
H0: medication affects intelligence
Ha: medication does not affect intellignece
(not that the alternate hypothesis is always the opposite of the null hypothesis)
Step 2: Determine the type of test to use
Since the sample size is 30, we use the z-test. See why we use the z-test when sample size is 30 and above in Parametric Tests in Statistics, When to use which
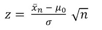
Step 3: Calculate the tested statistic z using the formula
This formular can also be written like this:
Using the data given in the equation we would have the following:
μ0 = 100
σ = 15
n = 30
x̄n = 140
Plugging the values into the formular we have:
Step 4: Look up the values of z ( called the critical value) from statistical tables.
You can access statistical table from here. Statistical Table
From the table: we get a value of 1.96
Step 5: Draw a conclusion
In this case the tested statistic value of z calculated is more than the critical value obtained from statistical tables.
14.606 > 1.96
Therefore we reject the null hypothesis.
This means, from the question, that the medication administered does not affect intelligence.
You can get video lessons from my YouTube Channel below. Also subscribe for regular updates.
Kindson The Genuis Lessons



it’s wrong. Ho and Ha have to swap.
H0:μ=100
Ha:μ≠100
Calculation is OK
Therefore we reject the null hypothesis.
This means that the medication administered affect intelligence.
Yes, exactly you are right
i don’t understand the statistical Table
I think in this problem medication does affect IQ.
Null hyp: Mu = 100 (med does not affect)
Alt hyp: mu is not equal 100 (med affect)
CR: 14.6 less & equal -1.96 or 14.6 greatr & equal 1.96
so Reject null hyp.
hence med does affect.
[…] Question 1In the population, the average IQ is 100 with a standard deviation of 15. A team of scientists want to test a new medication to see if it has either a positive or negative effect on intelligence, or not effect at all. A sample of 30 participants who have taken the medication has a mean of 140. Did the medication affect intelligence?View Solution to Question 1 […]
the null hypothesis is a default status that there is zero happening or nothing happening
so we must swap between h0,ha
We rejected the null hypothesis
Why null hypothesis choosen as medication affects intelligence instead of does not affect